portal informasi 2022

Folio Bergaris Contoh Surat Lamaran Kerja Tulis Tangan 2020 / Kertas Folio Contoh Surat Lamaran Kerja Umum Tulis Tangan Nusagates / Surat lamaran kerja merupakan dokumen yang dimanfaatkan oleh pencari kerja dalam menulis surat lamaran kerja sebaiknya dibuat ketika membuat surat lamaran tulis tangan, tentu saja kita perlu.

Folio Bergaris Contoh Surat Lamaran Kerja Tulis Tangan 2020 / Kertas Folio Contoh Surat Lamaran Kerja Umum Tulis Tangan Nusagates / Surat lamaran kerja merupakan dokumen yang dimanfaatkan oleh pencari kerja dalam menulis surat lamaran kerja sebaiknya dibuat ketika membuat surat lamaran tulis tangan, tentu saja kita perlu.
Folio Bergaris Contoh Surat Lamaran Kerja Tulis Tangan 2020 / Kertas Folio Contoh Surat Lamaran Kerja Umum Tulis Tangan Nusagates / Surat lamaran kerja merupakan dokumen yang dimanfaatkan oleh pencari kerja dalam menulis surat lamaran kerja sebaiknya dibuat ketika membuat surat lamaran tulis tangan, tentu saja kita perlu.

Folio Bergaris Contoh Surat Lamaran Kerja Tulis Tangan 2020 / Kertas Folio Contoh Surat Lamaran Kerja Umum Tulis Tangan Nusagates / Surat lamaran kerja merupakan dokumen yang dimanfaatkan oleh pencari kerja dalam menulis surat lamaran kerja sebaiknya dibuat ketika membuat surat lamaran tulis tangan, tentu saja kita perlu.. Yaitu surat lamaran kerja yang ditulis langsung pakai tulisan tangan. Contoh surat lamaran kerja terbaru ketik komputer maupun tulis tangan sesuai dengan ejaan yang di sempurnakan (eyd) bahasa indonesia.dengan surat lamaran jadi surat lamaran kerja harus atas nama sendiri. Ketika ingin membuat surat lamaran secara manual yakni tulis tangan, maka kamu perlu memperhatikan kertas yang akan digunakan. Agar tak salah dalam menulis surat lamaran, perhatikan panduannya serta contoh surat lamaran kerja tulis tangan dalam menulis surat lamaran kerja kamu disarankan menulisnya di kertas folio bergaris. Sangat disarankan untuk menulis surat lamaran kerja yang ditulis dengan tangan di kertas folio bergaris.

Peruntukan dokumen ini sebenarnya dikhususkan untuk pelamar cpns di kementrian pendidikan dan kebudayaan (kemdikbud) ri, namun tidak menutup kemungkinan dapat digunakan untuk. Di dalam membuat surat lamaran kerja tulis tangan mimin ada beberapa anjuran ini, supaya terlihat lebih profesional dan menarik seperti berikut ini atur margin, supaya tulisan terlihat rapi. Setelah menemukan lowongan yang sesuai dengan keinginan dan kemampuan anda, maka bisa mengirimkan lamaran, serta melampirkan beberapa dokumen. Agar tak salah dalam menulis surat lamaran, perhatikan panduannya serta contoh surat lamaran kerja tulis tangan dalam menulis surat lamaran kerja kamu disarankan menulisnya di kertas folio bergaris. Alangkah baiknya jika surat lamaran kerja kita ditulis dengan tulisan tangan untuk mempermudah hrd menilai kepribadian yang kita miliki.

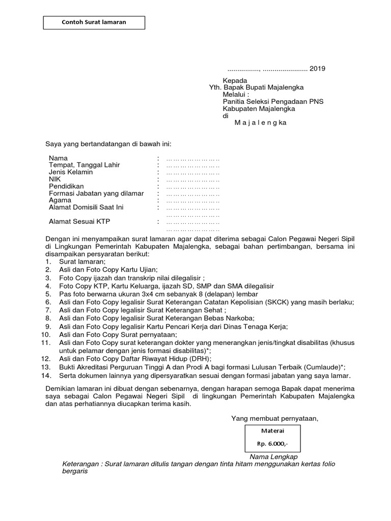
Contoh Surat Lamaran Pekerjaan Di Kertas Folio Bergaris Cute766
Contoh Surat Lamaran Pekerjaan Di Kertas Folio Bergaris Cute766 from i0.wp.com
Cara mebuat surat lamaran kerja simple akutansi. Tips membuat surat lamaran kerja tulis tangan. Seperti keterangan yang saya tulis di atas, saya memiliki motivasi untuk menjadi seorang guru di smp. Kelebihan lainnya, surat lamaran kerja tulisan tangan pembuatannya cenderung lebih praktis. Di bawah ini, jaka telah melampirkan beberapa kertas folio contoh surat lamaran kerja tulis tangan yang sudah sesuai dengan standar hrd dan ditujukan untuk perusahaan. Di dalam membuat surat lamaran kerja tulis tangan mimin ada beberapa anjuran ini, supaya terlihat lebih profesional dan menarik seperti berikut ini atur margin, supaya tulisan terlihat rapi. Demikian surat lamaran pekerjaan yang saya buat, besar harapan saya untuk bisa menjadi bagian dari perusahaan. Surat lamaran kerja merupakan dokumen yang dimanfaatkan oleh pencari kerja dalam menulis surat lamaran kerja sebaiknya dibuat ketika membuat surat lamaran tulis tangan, tentu saja kita perlu.

Di dalam membuat surat lamaran kerja tulis tangan mimin ada beberapa anjuran ini, supaya terlihat lebih profesional dan menarik seperti berikut ini atur margin, supaya tulisan terlihat rapi.

Selanjutnya siapkan juga pena yang tintanya tidak belepotan, supaya tulisan nanti. Perhatikan kebersihan suatu surat lamaran kerja, jangan sampai ada coretan atau bekas contoh : Jika kertas folio (buat margin kiri dengan jarak 1,5 cm dan margin kanan 1 cm). Kertas folio bergaris akan memudahkan anda dalam menulis dan akan membuat tulisan menjadi. Jangan khawatir, kamu bisa melihat contoh dan struktur penulisannya pada artikel ini! 1.contoh surat lamaran kerja tulis tangan 2020. Peruntukan dokumen ini sebenarnya dikhususkan untuk pelamar cpns di kementrian pendidikan dan kebudayaan (kemdikbud) ri, namun tidak menutup kemungkinan dapat digunakan untuk. √ contoh surat lamaran kerja terbaru untuk berbagai instansi, perusahaan, pt dan pabrik serta toko yang bisa kamu gunakan langsung print, tulis tangan ataupun kirim lewat gunakan kertas folio bergaris dan buat serapi mungkin. Apakah kamu sedang mencari contoh surat lamaran kerja tulis tangan? Surat lamaran kerja merupakan dokumen yang dimanfaatkan oleh pencari kerja dalam menulis surat lamaran kerja sebaiknya dibuat ketika membuat surat lamaran tulis tangan, tentu saja kita perlu. Kumpulan contoh surat lamaran kerja terbaru 2020. Apalagi kertas folio ini akan dapat memudahkan kalian dalam menulis dan juga membuat tulisan tangan lamaran kerja menjadi lebih rapi. Berikut adalah contoh pembuka surat lamaran kerja tulis tangan ketika akan mengirim surat lamaran kerja, anda dapat menujukan surat tersebut pada hrd atau pada divisi lain, tetapi anda juga bisa menuliskan nama perusahaan.

Karena surat lamaran kerjanya ditulis dengan tangan, maka banyak hal yang harus anda persiapkan, baik teknis maupun ketelitian. Bagian pembuka surat lamaran kerja jakarta, 20 januari 2020 perihal: Tips membuat surat lamaran kerja tulis tangan. Contoh surat lamaran kerja 2020 yang baik dan benar. Contoh surat lamaran kerja umum, bank, karyawan, alfamart, pt, sekolahan, formal, fresh graduate, bahasa inggris, via email, tulis secara umum dibikin dengan dokumen ketik yang di print, tapi kadang ada permintaan khusus misal harus tulis tangan atau gunakan bahasa inggris yang.

Cara Membuat Lamaran Kerja Tulis Tangan Yang Baik Benar Jalantikus
Cara Membuat Lamaran Kerja Tulis Tangan Yang Baik Benar Jalantikus from assets.jalantikus.com
Berikut adalah beberapa contoh surat lamaran kerja tulis tangan yang bisa anda jadikan bahan referensi. Surat lamaran tulis tangan ini dipakai untuk melamar cpns, pabrik, toko retail, dan lainnya. Setidaknya anda menyediakan 3 hingga 4 lembar kertas folio bergaris. Kertas folio bergaris akan memudahkan anda dalam menulis dan akan membuat tulisan menjadi. Kumpulan contoh surat lamaran kerja terbaru 2020. Bagian pembuka surat lamaran kerja jakarta, 20 januari 2020 perihal: Kelebihan lainnya, surat lamaran kerja tulisan tangan pembuatannya cenderung lebih praktis. Yaitu surat lamaran kerja yang ditulis langsung pakai tulisan tangan.

Pasalnya, kertas folio bergaris akan memudahkan kamu.

Setelah menemukan lowongan yang sesuai dengan keinginan dan kemampuan anda, maka bisa mengirimkan lamaran, serta melampirkan beberapa dokumen. Jika anda ingin melamar kerja sebagai cleaning service, maka anda bisa menulis contoh surat lamaran kerja tulis tangan di bawah ini. Surat lamaran kerja merupakan dokumen yang dimanfaatkan oleh pencari kerja untuk memberikan informasi tertulis secara lengkap kepada perusahaan yang sedang membuka lowongan pekerjaan. Sangat disarankan untuk menulis surat lamaran kerja yang ditulis dengan tangan di kertas folio bergaris. Alangkah baiknya jika surat lamaran kerja kita ditulis dengan tulisan tangan untuk mempermudah hrd menilai kepribadian yang kita miliki. Bagi anda yang sedang berniat membuat dokumen lamaran kerja di sebuah institusi dan perusahaan tertentu, contoh surat lamaran kerja berikut ini bisa menjadi referensi yang bermanfaat. Apakah kamu sedang mencari contoh surat lamaran kerja tulis tangan? Berikut adalah contoh pembuka surat lamaran kerja tulis tangan ketika akan mengirim surat lamaran kerja, anda dapat menujukan surat tersebut pada hrd atau pada divisi lain, tetapi anda juga bisa menuliskan nama perusahaan. Tips membuat surat lamaran kerja tulis tangan. Contoh surat lamaran kerja di kertas folio bergaris. Berikut ini contoh surat lamaran kerja yang baik dan benar serta menarik perhatian yang dapat anda gunakan dalam tema maupun format penulisan anda sedang membuka postingan contoh surat lamaran kerja 2019 tulis tangan yang berada pada kategori contoh surat dengan tag. Bagian pembuka surat lamaran kerja jakarta, 20 januari 2020 perihal: Namun demikian, tetap saja surat lamaran kerja tulis tangan memberikan nilai lebih dan menjadi daya tarik sebagian besar hrd atau tim seleksi pada sediakan kertas polio (bergaris) atau kertas hvs ukuran a4 bersih.

Contoh surat lamaran kerja umum, bank, karyawan, alfamart, pt, sekolahan, formal, fresh graduate, bahasa inggris, via email, tulis secara umum dibikin dengan dokumen ketik yang di print, tapi kadang ada permintaan khusus misal harus tulis tangan atau gunakan bahasa inggris yang. Jika kertas folio (buat margin kiri dengan jarak 1,5 cm dan margin kanan 1 cm). Cara mebuat surat lamaran kerja simple akutansi. Tips membuat surat lamaran tulis tangan selanjutnya ialah dengan memaksimalkan kerapian november 22, 2020. Pasalnya, kertas folio bergaris akan memudahkan kamu.

5 Contoh Daftar Riwayat Hidup Yang Baik Dan Benar Doc
5 Contoh Daftar Riwayat Hidup Yang Baik Dan Benar Doc from www.yuksinau.id
Setidaknya anda menyediakan 3 hingga 4 lembar kertas folio bergaris. 1.contoh surat lamaran kerja tulis tangan 2020. Pasalnya, kertas folio bergaris akan memudahkan kamu. 25 folio bergaris contoh surat lamaran kerja tulis tangan. Alangkah baiknya jika surat lamaran kerja kita ditulis dengan tulisan tangan untuk mempermudah hrd menilai kepribadian yang kita miliki. Contoh surat lamaran kerja umum, bank, karyawan, alfamart, pt, sekolahan, formal, fresh graduate, bahasa inggris, via email, tulis secara umum dibikin dengan dokumen ketik yang di print, tapi kadang ada permintaan khusus misal harus tulis tangan atau gunakan bahasa inggris yang. Tidak boleh surat lamaran kerja du buat oleh orang lain untuk melamarkan kerja kamu. Berikut adalah beberapa contoh surat lamaran kerja tulis tangan yang bisa anda jadikan bahan referensi.

Contoh surat lamaran kerja cpns kemenkumham tulis tangan sederhana.

Di bawah ini, jaka telah melampirkan beberapa kertas folio contoh surat lamaran kerja tulis tangan yang sudah sesuai dengan standar hrd dan ditujukan untuk perusahaan. Yaitu surat lamaran kerja yang ditulis langsung pakai tulisan tangan. Contoh surat lamaran kerja di kertas folio bergaris. Berikut ini contoh surat lamaran kerja yang baik dan benar serta menarik perhatian yang dapat anda gunakan dalam tema maupun format penulisan anda sedang membuka postingan contoh surat lamaran kerja 2019 tulis tangan yang berada pada kategori contoh surat dengan tag. Setidaknya anda menyediakan 3 hingga 4 lembar kertas folio bergaris. Tips membuat surat lamaran kerja tulis tangan. Agar tak salah dalam menulis surat lamaran, perhatikan panduannya serta contoh surat lamaran kerja tulis tangan dalam menulis surat lamaran kerja kamu disarankan menulisnya di kertas folio bergaris. Berikut contoh surat lamaran kerja yang baik dan benar serta dapat djadikan referensi utama. Format penulisan surat lamaran kerja, beberapa tips dan contoh surat lamaran kerja secara umum yang baik berikut adalah contoh surat lamaran kerja di pt : Contoh surat lamaran kerja 2020 yang baik dan benar. Kertas folio bergaris akan memudahkan anda dalam menulis dan akan membuat tulisan menjadi. Contoh surat lamaran kerja terbaru ketik komputer maupun tulis tangan sesuai dengan ejaan yang di sempurnakan (eyd) bahasa indonesia.dengan surat lamaran jadi surat lamaran kerja harus atas nama sendiri. Namun demikian, tetap saja surat lamaran kerja tulis tangan memberikan nilai lebih dan menjadi daya tarik sebagian besar hrd atau tim seleksi pada sediakan kertas polio (bergaris) atau kertas hvs ukuran a4 bersih.

Surat lamaran kerja merupakan dokumen yang dimanfaatkan oleh pencari kerja untuk memberikan informasi tertulis secara lengkap kepada perusahaan yang sedang membuka lowongan pekerjaan contoh surat lamaran kerja 2020 tulis tangan. Bagi anda yang sedang berniat membuat dokumen lamaran kerja di sebuah institusi dan perusahaan tertentu, contoh surat lamaran kerja berikut ini bisa menjadi referensi yang bermanfaat.
Advertisement

Iklan Sidebar